SH.F.K "DERVISH CARA"  Pallçisht i Poshtëm

Thursday, June 25, 2015

PIKËT DHE NOTA NË TESTIMIN EKSTERN KL. IV-VIII

Ankesat mundet të paraqiten me 26,29 dhe 30.06.2015

























Publikoi Isak Ramadani Ora 4:24 PM No comments:
Email ThisBlogThis!Share to XShare to FacebookShare to Pinterest

Monday, June 15, 2015

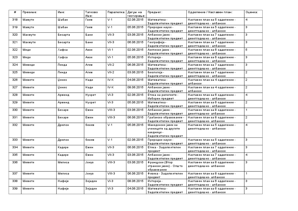
REZULTATET E TESTIMIT EKSTERN KL. IV-VIII

  Moduli për paraqitjen e ankesave hapet me 26.06.2015. Ankesat mundë të dërgohen deri më  30.06.2015

























Publikoi isakram1955@gmail.com Ora 12:34 PM No comments:
Email ThisBlogThis!Share to XShare to FacebookShare to Pinterest
Newer Posts Older Posts Home
Subscribe to: Comments (Atom)

FAQET

  • FAQJA E PARË
  • DERVISH CARA
  • FOTO GALERIJA
  • MEREMETIMI
  • VIDEO GALERIA
  • LEXIMI JU BËN UDHËHEQËS
  • PEACE CORPS
  • ORARE 2025/2026
  • BROSHURA 2025/2026
  • PROGRAMI VJETOR 2025/2026
  • VETËEVALUIMI

VIZITOR

ADMINISTRATORËT

  • Isak Ramadani
  • Mimoza

DITARI ELEKTRONIK

  • E-Ditari

Blog Archive

  • ►  2025 (31)
    • ►  October (1)
    • ►  May (3)
    • ►  April (9)
    • ►  March (5)
    • ►  February (13)
  • ►  2024 (26)
    • ►  December (4)
    • ►  November (7)
    • ►  October (3)
    • ►  September (1)
    • ►  May (5)
    • ►  February (6)
  • ►  2023 (100)
    • ►  December (5)
    • ►  November (2)
    • ►  October (4)
    • ►  September (2)
    • ►  August (4)
    • ►  June (18)
    • ►  May (14)
    • ►  April (16)
    • ►  March (21)
    • ►  February (13)
    • ►  January (1)
  • ►  2022 (53)
    • ►  December (12)
    • ►  November (15)
    • ►  October (9)
    • ►  September (2)
    • ►  August (2)
    • ►  June (3)
    • ►  May (2)
    • ►  March (6)
    • ►  January (2)
  • ►  2021 (4)
    • ►  December (2)
    • ►  August (1)
    • ►  June (1)
  • ►  2020 (8)
    • ►  December (1)
    • ►  November (1)
    • ►  October (1)
    • ►  June (1)
    • ►  May (1)
    • ►  March (1)
    • ►  February (2)
  • ►  2019 (7)
    • ►  December (1)
    • ►  November (4)
    • ►  October (2)
  • ►  2018 (1)
    • ►  February (1)
  • ►  2017 (13)
    • ►  November (1)
    • ►  September (2)
    • ►  August (2)
    • ►  July (1)
    • ►  June (3)
    • ►  May (1)
    • ►  March (3)
  • ►  2016 (6)
    • ►  November (1)
    • ►  September (1)
    • ►  August (1)
    • ►  June (1)
    • ►  May (1)
    • ►  March (1)
  • ▼  2015 (17)
    • ►  December (1)
    • ►  September (2)
    • ►  August (1)
    • ►  July (1)
    • ▼  June (5)
      • PIKËT DHE NOTA NË TESTIMIN EKSTERN KL. IV-VIII
      • REZULTATET E TESTIMIT EKSTERN KL. IV-VIII
      • Kumtimi i rezultateve të testimit ekstern
      • Raporti i suksesit për kujdestarët e klasëve(klik...
      • Lëndët me 08,06,2015
    • ►  May (4)
    • ►  March (2)
    • ►  February (1)
  • ►  2014 (11)
    • ►  December (2)
    • ►  November (2)
    • ►  October (1)
    • ►  August (1)
    • ►  July (3)
    • ►  June (1)
    • ►  May (1)
  • ►  2012 (4)
    • ►  October (1)
    • ►  September (2)
    • ►  August (1)
Picture Window theme. Theme images by konradlew. Powered by Blogger.